MODEL
PolyRectSphere
AUTHOR/MODIFICATION
Steve Kline 20 JAN 1999
Alan Munter 08 JULY 1999, converted to Java
APPROVED FOR DISTRIBUTION
DESCRIPTION
Calculates the form factor for a polydisperse population of spheres with uniform scattering length density. The distribution of radii is a rectangular (box) distribution. The form factor is normalized by the average particle volume such that P(q) = scale*<f*f>/Vol + bkg, where f is the single particle scattering amplitude and the < > denote an average over the size distribution.
Resolution smeared version is also provided.
VARIABLES
Input Variables (default values):
| Parameter | Variable | Value |
|---|---|---|
| 0 | Scale | 1.0 |
| 1 | Average Radius (Å) | 60.0 |
| 2 | Polydispersity (0-1) | 0.12 |
| 3 | Contrast (Å-2) | 3.0e-6 |
| 4 | Incoherent Background(cm-1) | 0.000 |
USAGE NOTES
The returned value is scaled to units of [cm-1], absolute scale.
contrast = SLD (sphere) - SLD (solvent)
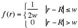
The (normalized) rectangular distribution is:

with the constraint that w <= R. Here R is the average radius specified by parameter[1] above.
R is the mean of the distribution and w is the half-width.
The root mean square deviation is
. The polydispersity,
.
The form factor is normalized by the average volume, using
.
If the scale factor Parameter[0] is set equal to the particle volume fraction, phi, the returned value is the scattered intensity per unit volume, I(q) = phi*P(q). However, no interparticle interference effects are included in this calculation.
Parameter[0] (scale) and Parameter[3] (contrast) are multiplicative factors in the model and are perfectly correlated. Only one of these parameters should be left free during model fitting.
REFERENCE
Kotlarchyk, M.; Chen, S.-H. J. Chem. Phys., 1983, 79, 2461.
TEST DATASET
This example dataset is produced by calculating the PolyRectSphere using 128 data points, qmin = 0.001 Å-1, qmax = 0.7 Å-1 and the above default parameter values.
